Ontsleutelen van de bronnen en vormingsmechanismen van haze met kolenverbrandingsexperimenten en zwavelisotopen
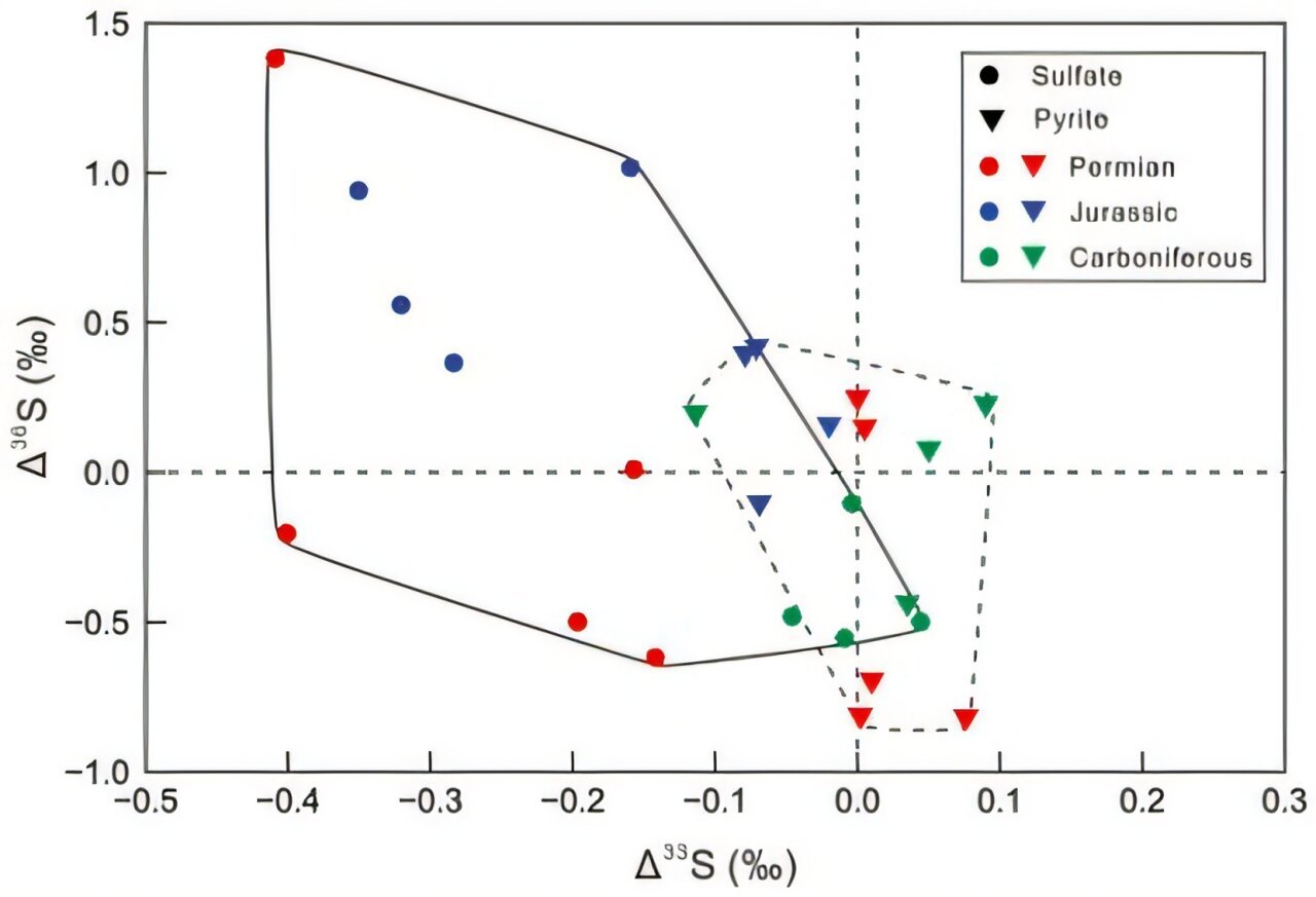
Onderzoek naar de zwavelisotoopsamenstelling van pyriet in kolmonsters en sulfaat geproduceerd door kolenverbranding.
Een onderzoeksteam onder leiding van prof. Shen Yan’an van de Universiteit voor Wetenschap en Technologie van China (USTC) heeft belangrijke vooruitgang geboekt in het bestuderen van de bronnen en vormingsmechanismen van smog. Door middel van kolenverbrandingsexperimenten en hoogprecisie zwavelisotoopanalyse concludeerden de onderzoekers dat fijnstof van kolenverbranding een van de belangrijkste bronnen van smog in Noord-China is. De bevindingen werden online gepubliceerd in de Proceedings of the National Academy of Sciences op 10 december.
Door de impact van menselijke activiteiten en natuurlijke omstandigheden heeft luchtvervuiling een ernstig niveau bereikt, waarbij smog het economische ontwikkeling en de menselijke gezondheid ernstig beïnvloedt. Het is daarom zowel theoretisch als praktisch van groot belang om de bronnen en vormingsmechanismen van smog te bestuderen.
De onderzoekers verzamelden systematisch kolenmonsters uit representatieve kolenmijnen in Noord-China uit verschillende geologische tijdperken en voerden verbrandingsexperimenten uit bij 1000°C. Vervolgens verzamelden ze aerosolmonsters met een diameter van minder dan 2,5 micrometer en voerden ze een hoogprecisie zwavelisotoopanalyse uit op de sulfaatcomponenten.
De resultaten toonden significante verschillen aan in de zwavelisotoopsamenstelling tussen kolen en de verbrandingsproducten. In combinatie met theoretische berekeningen ontdekten de onderzoekers dat de verbranding het fenomeen van massavrije zwavelisotoopfractie (S-MIF) vertoonde, wat volgens eerdere studies voornamelijk voorkomt in gesteentemonsters ouder dan 2,2 miljard jaar. Hierdoor vertegenwoordigt de verbranding van kolen een nieuw mechanisme van S-MIF, wat grote theoretische betekenis heeft.
Verder onderzoek gaf aan dat er een opvallende gelijkenis bestaat in de isotopensamenstelling tussen het fijnstof dat is gegenereerd door kolenverbranding en de sulfaatdeeltjes die in smog boven Noord-China worden aangetroffen. Hoewel er verschillende opvattingen waren over de zwavelisotoop-anomalieën in de smogdeeltjes van sulfaat in Noord-China, bewezen de resultaten van de kolenverbrandingsexperimenten dat fijnstof van kolenverbranding een belangrijke bijdrage levert aan de smog in de regio.
De onderzoekers ontdekten ook dat vergelijkbare anomalieën in de zwavelisotoopsamenstelling voorkomen op de zwarte sulfaatkorsten op de oppervlakken van Europese culturele relikwieën, sculpturen en oude gebouwen. Sinds de jaren zestig hebben Europese wetenschappers aangetoond dat de vorming van zwarte sulfaatkorsten te maken heeft met complexe fysische en chemische processen, waarin zowel atmosferische vervuiling als vulkaanuitbarstingen een belangrijke rol kunnen spelen.
Door middel van systematische zwavelisotoopanalyse stelden de onderzoekers voor dat de producten van kolenverbranding een belangrijke bron zijn van sulfaatkorsten op historische monumenten zoals Europese beelden en gebouwen. Deze conclusie sluit nauw aan bij de geschiedenis van atmosferische vervuiling veroorzaakt door het uitgebreide gebruik van kolen tijdens de ontwikkeling van de industrie en landbouw in Europa.
De onderzoeksresultaten bieden nieuwe onderzoeksideeën en bewijs voor de bronnen en vormingsmechanismen van smog, en bieden een nieuwe wetenschappelijke basis voor het formuleren van beleid ter voorkoming van atmosferische fijnstofvervuiling. Ze tonen tevens de cruciale rol van zwavelisotopen aan bij het ontcijferen van de huidige en vroege aardse omgevingen.
